Reparação de estruturas de madeira recorrendo aos compósitos artificiais
Descrição do projeto
Um dos aspetos fundamentais no aumento da duração das aplicações estruturais da madeira é a possibilidade de reparação deste tipo de estruturas. A reabilitação de estruturas em madeira pode ser necessária por diferentes razões, incluindo a reparação de danos (por sobrecarga dos componentes estruturais, por incêndio, por ataque de fungos e de insetos, entre outros) e o reforço imposto por alteração das condições de serviço da estrutura ou por alteração de normas de segurança. A reparação recorrendo aos compósitos artificiais tem vindo a ser usada nos últimos anos, embora o projeto deste tipo de reparações se baseie essencialmente em conhecimentos empíricos. Neste projeto pretendeu-se desenvolver metodologias analítico/numéricas que permitam otimizar a reparação de estruturas de madeira recorrendo aos compósitos artificiais com o objetivo de prolongar a sua vida útil, mantendo ou aumentando a sua capacidade de carga e a segurança estrutural.
Entidades participantes
O projeto resultou de uma cooperação entre o INEGI (Instituição de Investigação e Desenvolvimento e de Inovação e Transferência de Tecnologia) e a UTAD (Universidade de Trás-os-Montes e Alto Douro). O trabalho de índole teórico/numérico decorreu no INEGI e a componente experimental realizou-se nos laboratórios de ensaios mecânicos da UTAD.
Descrição do INEGI - Instituição de Investigação e Desenvolvimento e de Inovação e Transferência de Tecnologia
O INEGI tem como missão contribuir para o aumento da capacidade competitiva do tecido económico e social, através da inovação de base científica e tecnológica aplicada aos processos, produtos e modelos de negócio, bem como através do desenvolvimento das melhores práticas de gestão das atividades de I&D, transferência de tecnologia e inovação. As competências do INEGI estão centradas na mecânica experimental, no desenvolvimento de produto e sistemas, nos materiais e tecnologias de fabrico, nas energias renováveis e engenharia industrial. O INEGI acolhe 116 doutorados e mais de 100 membros associados, sendo o maior grupo de I&D e de ITT em Engenharia Mecânica, em Portugal.
Apoio
Apoiado pelo COMPETE - Programa Operacional Fatores de Competitividade, o projeto “Reparação de estruturas de madeira recorrendo aos compósitos artificiais” envolveu um investimento elegível de €65.000,00 correspondendo a um incentivo FEDER aproximado de €45.500,00. Na opinião do investigador responsável, Professor Marcelo Moura do Departamento de Engenharia Mecânica da Faculdade de Engenharia da Universidade do Porto, este projeto só foi possível com o apoio do COMPETE, possibilitando a criação de um grupo de investigação cujo trabalho tem vindo a ser continuamente reconhecido.
Atividades desenvolvidas
O objetivo fundamental do projeto consistiu no desenvolvimento de métodos de reparação de estruturas de madeira com materiais compósitos artificiais. Pretendeu-se assim contribuir para o desenvolvimento da aplicação da madeira em estruturas, aumentando o seu tempo de vida útil. Após uma revisão bibliográfica foram selecionados quatro casos distintos: rotura à compressão induzida pela flexão, rotura por corte horizontal iniciada numa das faces laterais da viga sob flexão, rotura paralela às fibras por tração induzida por flexão e rotura por tração.
Com o objetivo de otimizar o procedimento de reparação para cada um dos casos referidos, foi desenvolvido um modelo numérico baseado em elementos finitos incluindo um novo modelo coesivo de modo misto especificamente adequado para simular o comportamento à fratura de adesivos estruturais com comportamento dúctil. O modelo foi testado e validado na previsão do comportamento dos adesivos em ensaios experimentais de fratura em modo I (Double Cantilever Beam – DCB) e em modo II (End Notched Flexure – ENF). O modelo foi também testado na aplicação à simulação de execução de reparações de materiais compósitos de carbono-epóxido. Este procedimento permitiu a afinação e validação do referido modelo no âmbito de materiais artificiais facilmente caracterizáveis e cujas propriedades se mantêm sensivelmente constantes entre provetes diferentes, o que não sucede na madeira que apresenta uma variabilidade marcante. Finalmente, o modelo foi aplicado no contexto de reparação de estruturas de madeira com compósitos de carbono-epóxido.
Resultados e conclusões
Na Figura 1 apresenta-se, a título de exemplo, o modo de colapso típico observado na rotura à compressão induzida por flexão, num ensaio de flexão em quatro pontos. Na Figura 2 mostra-se o resultado obtido pela simulação numérica recorrendo aos elementos coesivos e ao modelo de modo misto. Devido à simetria do problema simulou-se somente metade do provete, constatando-se que o modelo retrata com rigor o tipo de dano ocorrido experimentalmente.
Figura 1. Ensaio de uma reparação com um comprimento de sobreposição de 20 mm.

Figura 2. Simulação numérica do caso respeitante à Figura 1.
A Figura 3 apresenta uma comparação entre o resultado da simulação numérica e os resultados experimentais obtidos considerando dez provetes nas mesmas condições. Constata-se que o modelo prevê com rigor o andamento das curvas força-deslocamento bem como o valor da força máxima que constitui o parâmetro fundamental para avaliar a resistência da reparação.

Figura 3. Comparação entre as curvas força-deslocamento numérica e experimentais para um comprimento de sobreposição de 10 mm.
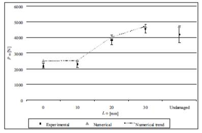
Na Figura 4 apresenta-se a evolução da força máxima (Pm) em função do comprimento de sobreposição LO. Mais uma vez se evidencia o bom comportamento do modelo numérico na previsão da resistência das reparações. Também se conclui que a reparação com LO =10 mm não propicia qualquer vantagem relativamente à viga não reparada. Por outro lado, constata-se que a reparação com LO=30 mm permite recuperar a resistência inicial da viga antes do dano, o que constitui um resultado importante.

Figura 4. Evolução da força máxima em função do comprimento de sobreposição LO.
Este exemplo é demonstrativo do bom desempenho do modelo coesivo de modo misto na simulação do processo de fratura e na determinação da resistência das juntas reparadas. Conclusões semelhantes foram retiradas dos restantes casos analisados. Os resultados do projeto foram disseminados em cerca de vinte artigos científicos publicados em revistas internacionais dos quais se destacam as seguintes publicações.
Publicações
- R. D. S. G. Campilho, M. F. S. F. de Moura, A. M. J. P. Barreto, J. J. L. Morais, J. J. M. S. Domingues, “Fracture Behaviour of Damaged Wood Beams Repaired with an Adhesively-Bonded Composite Patch”, Composites Part A 40:852–859, 2009.
- R. D. S. G. Campilho, M. F. S. F. de Moura, A. M. J. P. Barreto, J. J. L. Morais, J. J. M. S. Domingues, “Experimental and Numerical Evaluation of Composite Repairs on Wood Beams Damaged by Cross-Graining”, Construction & Building Materials 24:531-537, 2010.
- R. D. S. G. Campilho, M. F. S. F. de Moura, D. A. Ramantani, J. J. L. Morais, A. M. J. P. Barreto, J. J. M. S. Domingues, “Adhesively-Bonded Repair Proposal for Wood Members Damaged by Horizontal Shear using Carbon-Epoxy Patches”, The Journal of Adhesion 86: 649 – 670, 2010.
- N. Dourado, F. A. M. Pereira, M. F. S. F. de Moura, J. J. L. Morais. Repairing wood beams under bending using carbon-epoxy composites, Engineering Structures, 34:342–350, 2012.




